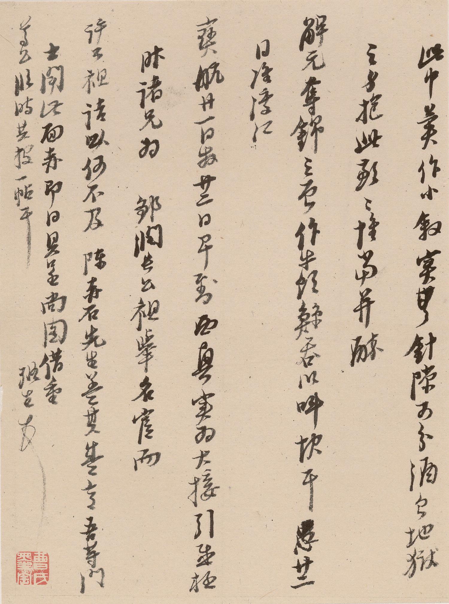
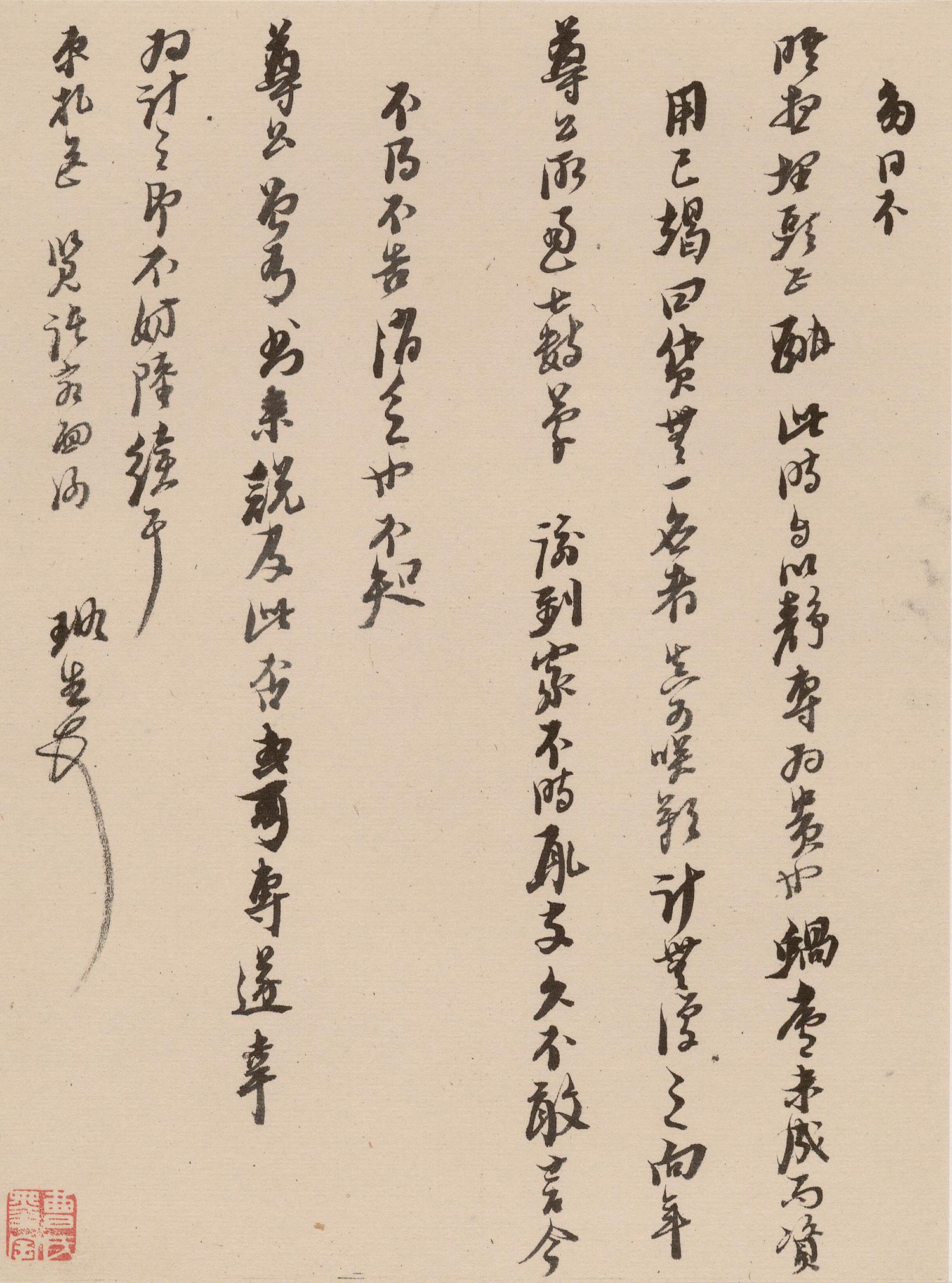
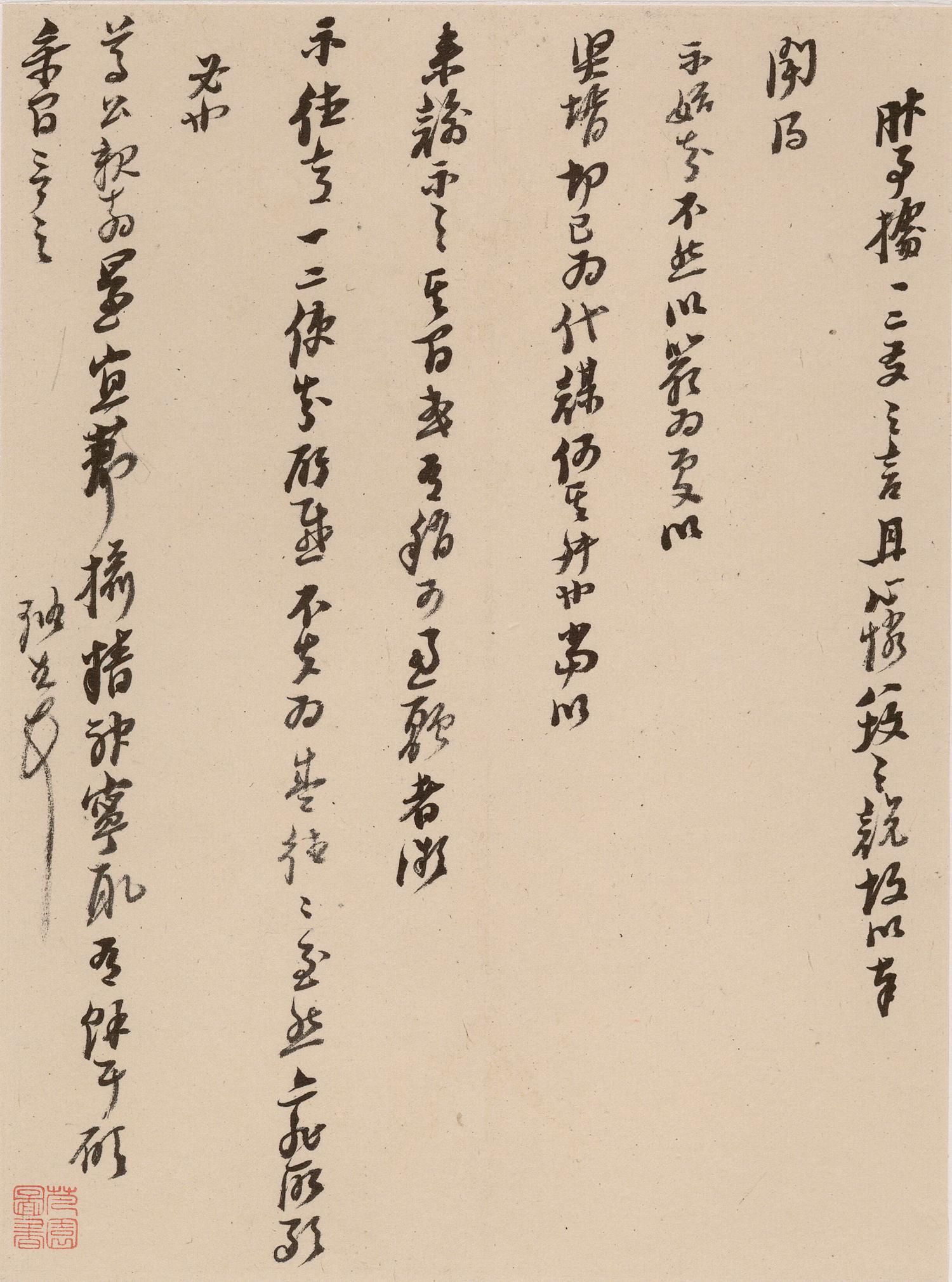
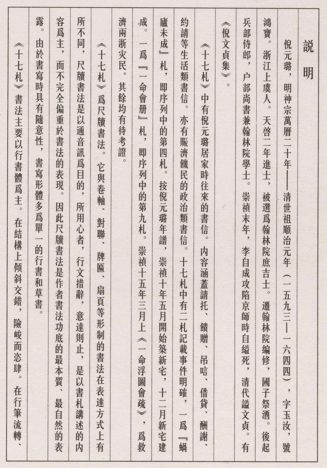
倪元璐书法灵秀神妙,行草尤极超逸,得王羲之、颜真卿和苏轼翰墨之助, 用笔锋棱四露中见苍浑,并时杂有渴笔与浓墨相映成趣,结字奇侧多变,书风奇伟,后人对他有“笔奇、字奇、格奇”之“三奇”,“势足、意足、韵足”之“三足”的称誉。他突破了明末柔媚的书风,创造了具有强烈个性的书法,与黄道周、王铎鼎足而立,并称“明末书坛三株树”,又与王铎、傅山、黄道周、张瑞图并称“晚明五大家”,成为明末书风的代表,影响了清末民初的书风 。现存书法作品有《舞鹤赋卷》《金山诗轴》等。亦能诗文。遗著见《倪文贞集》。
























2023-02-11 08:36
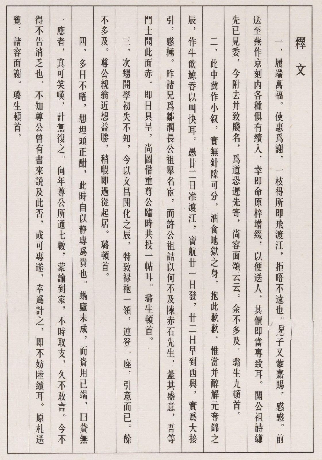
本文来源:元代 - - 倪元璐 十七札 译文
本文地址:https://ceshi.xinhandan.net/cms/show-4716.html
加入我们:微信:搜索公众号“新翰丹” 。新翰丹书法交流QQ群:620980212




