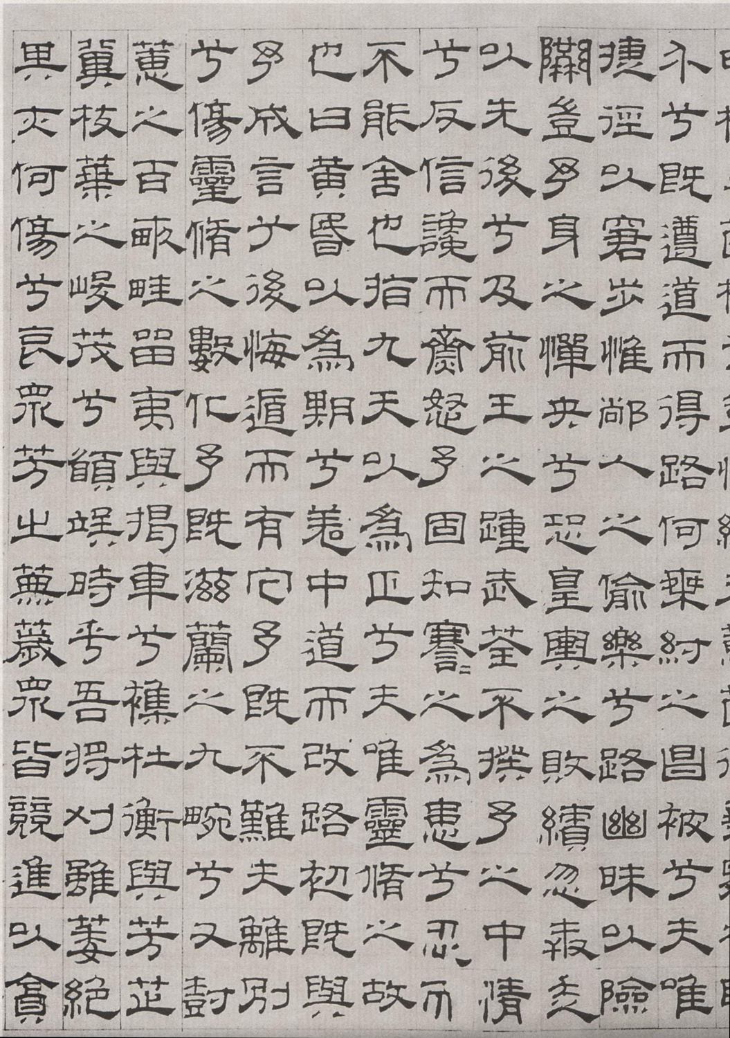
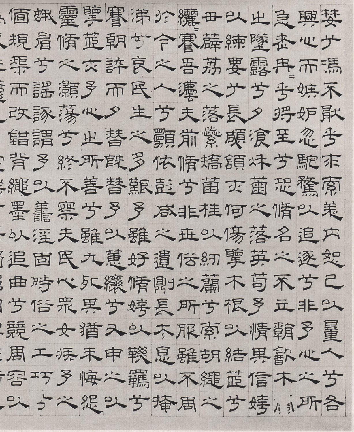
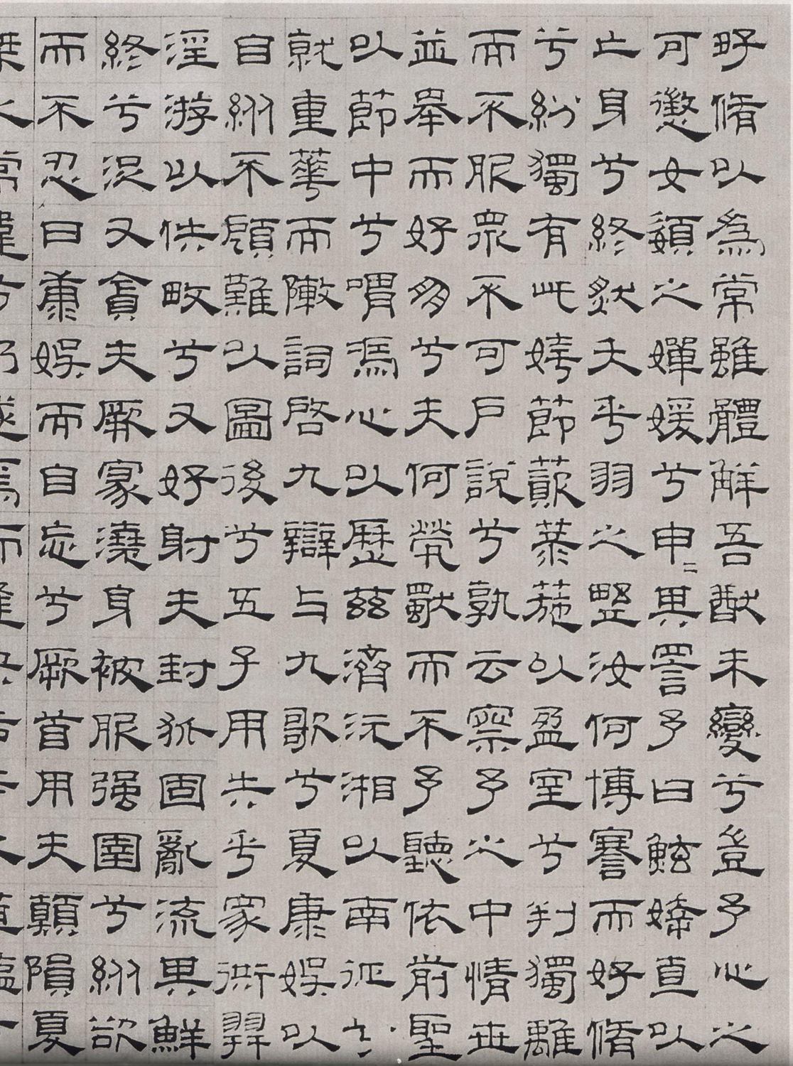
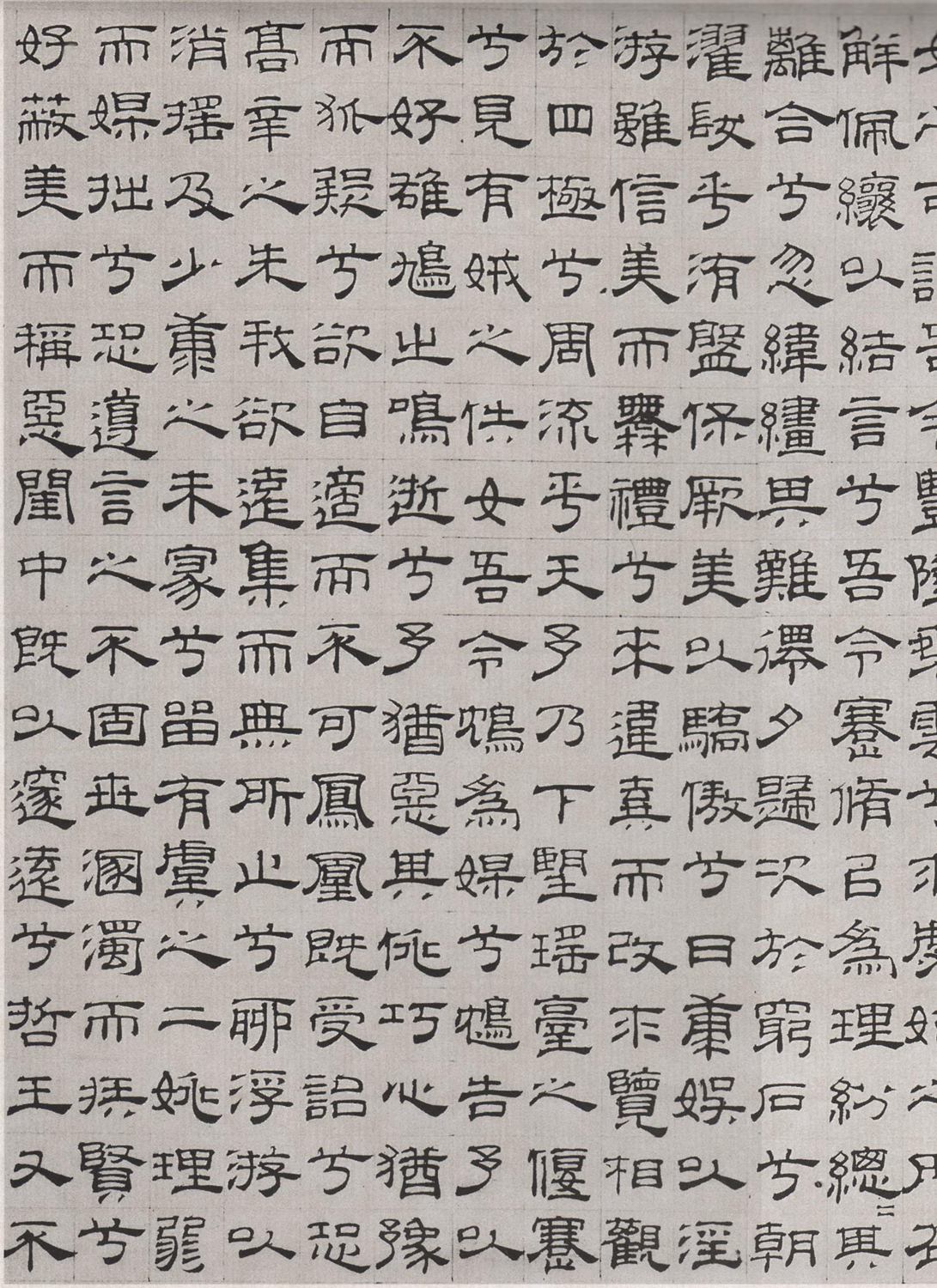
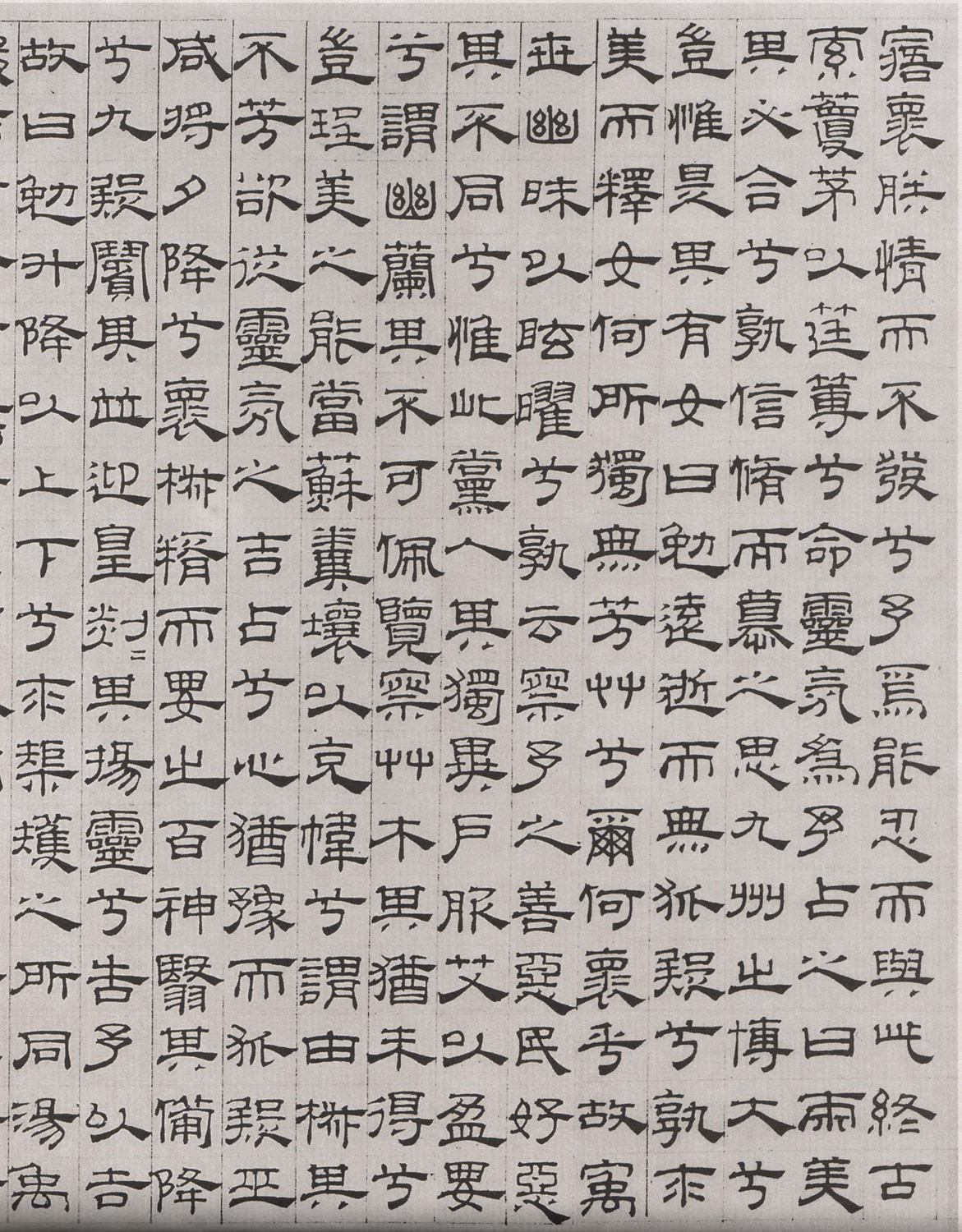
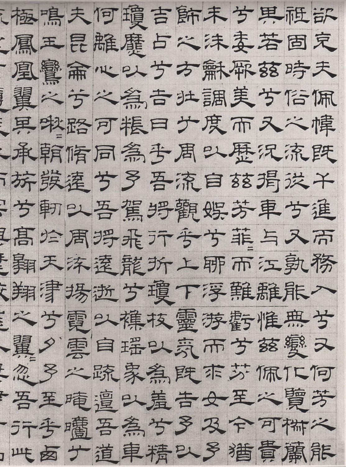
此卷纸本,前段隶书纵28.2 厘米,横223.2厘米。后段篆书纵27.7厘米,横240.6厘米,前段用隶书书写战国楚屈原所撰的《离骚》一篇,书于元统二年(1334),是吴叡37岁时所写。后段用篆书书写南朝梁周兴嗣所撰《千字文》一篇,书于至正四年(1344),是吴叡47岁时为其友人廖如川所写。前段隶书学汉碑体,法度谨严,后段篆法起落笔处俱尖,是战国秦篆书刻石《诅楚文》的笔法。卷后有元张雨、杜本、黄清老、戴洙、蔡宗礼题跋。曾经清王澍、戴植、汪士元收藏,卷上均钤有鉴藏印。《麓云楼书画记》著录。现藏上海博物馆。

此《篆隶书卷》以隶书离骚、篆书千字文合卷,书于元统二年(1334)。其时吴氏年仅37岁,可谓风华正茂。但见行笔结体老到稳健,布局精微,结构别致,法度严谨,字字不苟,是一件流传有绪的佳作,但古朴不足。












2023-10-25 11:38
本文来源:元代 - - 吴叡《隶书离骚篆书千字文》卷
本文地址:https://ceshi.xinhandan.net/cms/show-3083.html
加入我们:微信:搜索公众号“新翰丹” 。新翰丹书法交流QQ群:620980212




